...
11
آبان
خط تولید کفپوش PVC
10
آبان
پلیمریزاسیون تراکمی
10
آبان
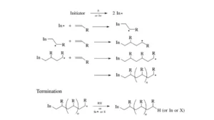
پلیمریزاسیون افزایشی
8
آبان
پالتروژن چیست؟ راهنمای جامع فرآیند، محصولات و دستگاه Pultrusion
7
آبان
بیوپلیمرها و پلاستیک های زیست تخریب پذیر
7
آبان
10 مشکل رایج در فرایند اکستروژن و نحوه برطرف کردن آن‌ها
6
آبان
شکست مذاب در محصولات پلیمری
6
آبان
اکستروژن فیلم دمشی
5
آبان
رئولوژی پلیمر چیست؟
5
آبان
کوپلیمریزاسیون چیست؟

تماس با ما

0
شما این محصولات را انتخاب کرده اید0

بازگشت به فروشگاه